Новости
| 26.03.2012 12:00
Исполком предлагает челнинцам выбрать себе председателей
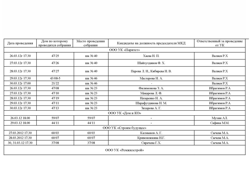
Публикуем утвержденный заместителем руководителя исполнительного комитета А.З. Зайнуллиным график проведения общих собраний по выбору председателей многоквартирных домов (МКД) в период с 26.03.2012 по 01.04.2012 года.




Последнее из рубрики Новости

