Официоз
| 31.01.2013 05:26
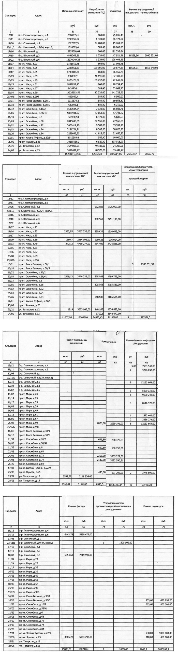
Капремонт-2013:
(11, 16-18, 20-25 комплексы г.Набережные Челны)
Мы предлагаем Вашему вниманию предварительную программу капитального ремонта многоквартирных жилых домов на территории управляющей компании "Паритет" в 2013 году. Окончательной она станет после утверждения в горисполкоме.Возможно, в утвержденную программу некоторые дома (или работы из этого списка не войдут. Но это означает, что они остаются первыми в очереди на капитальный ремонт в 2014-м году.

Ещё на тему капремонт-2013 :
Последнее из рубрики Официоз

