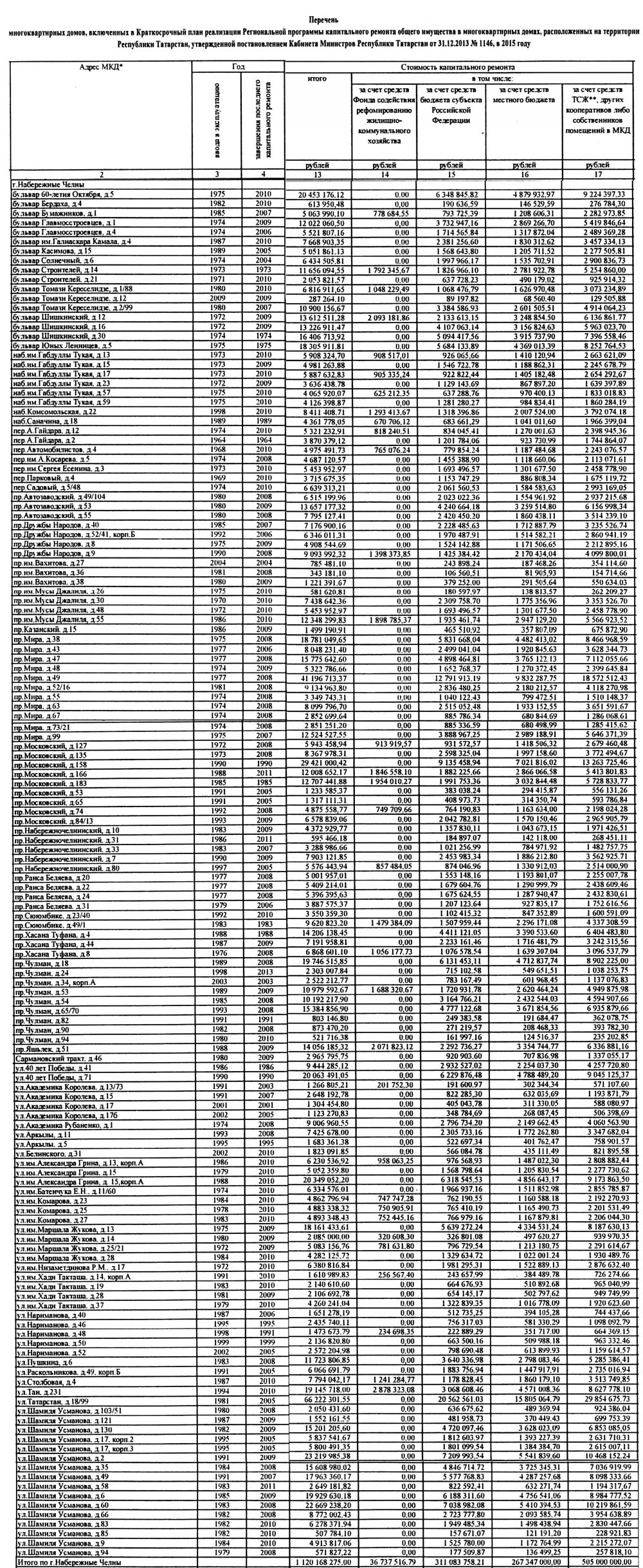
Какие дома в Набережных Челнах ждет капитальный ремонт
Сегодня на «деловом понедельнике» в исполкоме было объявлено о том, сколько средств вкладывается в ремонт многоквартирных домов в городе. Их потратят из республиканского и местного бюджетов, а также из фонда капремонта, средства в который собирают из ежемесячных платежей челнинцев. В приведенной ниже таблице приведены данные о том, сколько лет назад были сданы дома, намеченные к ремонту, В следующей графе казано, когда там в последний раз проводился капремонт. Далее размещены сведения о том, из каких источников тратятся деньги по каждому дому. Единственное неудобство перечня – в нем приведены официлаьные адреса, по улицам и проспектам. Надеемся, Вы знаете не только свой «строительный» адрес…
На Ваши дополнительные вопросы редакция будет отвечать отдельно.


