Забыли пароль? Зарегистрироваться

Опрос

  Нужно ли привлекать гастарбайтеров для очистки города от снега и льда?

Анекдоты и Разговоры

- Доченька, ты братика хочешь?
- Хочу!
- Тогда спи!

 


WikiLеаks собирается обнародовать список Санта Клауса с перечислением плохих и хороших детей.

 


Группа совершенно голых людей играет в карты на нудистском пляже.
- А не сыграть ли нам на одевание? - предлагает один игрок.
Другой озирается и говорит:
- А это прилично? Здесь же люди!

 


В связи с переименованием милиции в полицию заволновались медики...

 


- Не зря я столько за девчонками бегал - нашёл себе такое чудо.
- Что, она бегает медленнее всех?

Полностью...
 

Тема номера

Деревня дураков?

2009-09-01 22:03:48

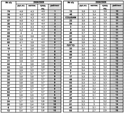
В Челнах составлен новый рейтинг школ - с учетом результатов ЕГЭ. Плохих результатов.  От которых, по словам руководителя городского исполкома Василя Шайхразиева, случился «общественный обморок».
Экзамены сдавали 3676 человек, 177 человек не смогли с ними справиться и остались без аттестатов. Но и основная масса сдавших экзамены не порадовала качеством знаний: по ряду дисциплин оно оказалось хуже, чем в целом по республике и России. Самые низкие результаты ЕГЭ по обязательным предметам продемонстрировали школы 5, 23, 27, 29, 38, 43, 47, 65, 81.
Реакция городских властей последовала. В 7 учебных заведениях поменяли руководителей. В школах №3, 8, 10, 14, 23, 43, 45 и 49 решено в этом году не открывать 10-е классы: сейчас, по мнению властей, там нет условий для обучения старшеклассников по разным профилям. Задуматься о целесообразности набора старшего звена (с учетом результатов ЕГЭ) предложили и школам №5, 17, 27, 38.
Выпускники удивили не только оценками, но и желанием покинуть родной город: 43,2% наших выпускников поступили в иногородние университеты и институты (из-за демографического кризиса во многие вузы сейчас проще попасть, чем в прежние годы). Такой огромной цифры уезжающей из Челнов молодежи никогда раньше не было.
«Обвалились не только рейтинги наших вузов, но и рейтинг города, - делает вывод ректор Института управления, председатель Совета руководителей учреждений образования города Сергей Дырин. - Неплохо, что выпускники уезжают в ведущие вузы страны. Плохо другое - они не возвращаются. Если мы не начнем воспитывать городской патриотизм, в челнинских вузах останутся средние студенты, и мы постепенно превратимся в деревню, где остаются самые нетрудоспособные силы...» 

РЕЙТИНГ ШКОЛ по результатам ЕГЭ
В таблице указаны не только место школы в рейтинге, но и средние оценки выпускников по русскому языку и математике - обязательным предметам итоговой аттестации.


 





LA Rosa (Читатель) 2009-09-01 22:36:12 Ответить

Раньше надо было думуть. Челны - это уже давно деревня.


Ахсан (Читатель) 2009-09-02 08:02:51 Ответить

Детей особенно с первого класса надо не учить, мамины, папины нотации надоели, а тут еще училка! Психологическое отторжение учебы присутствует почти всегда!!!Надо пробуждать интерес к самопоснанию ученика. Побольше вопросов от учителя типа: кто что узнал нового? Кто сделал какое открытие для себя? Почему трава зеленая? И т.п. Как будто учитель учится у детей. Постепенно она поймет, что действительно дети ее учат.ahsan@mail.ru


Дмитрий (Читатель) 2009-09-02 08:02:23 Ответить

Не ожидал, что в Челнах такая ситуация, Удивлен! На словах все было по другому-"Мы город европейского масштаба"


Thumb_моя_фотка dima (Зарегистрированный пользователь) 2010-01-11 17:05:57 Ответить

************* какой нафиг город европейского масштаба у нас в городе биотуалеты и то в пару местах стоят а вы хотите чтоб ещё и образование у нас на уровне было не один учитель не будет особо напрегаться с такими зарплатами темболее сейчас молодёш вообще нюх потеряла дерзят учителям скажите спосибо что у нас в школах учителя есть пройдёт ещё лет 5 и теучителя которые остались уйдут.


Nikon (Читатель) 2009-09-02 09:24:17 Ответить

Кто руководят?- Сват, брат, зять- из деревни, вот и превращаемся в деревню.


Дакота (Читатель) 2009-09-03 21:20:24 Ответить

Согласна на 100%


Елена (Читатель) 2009-09-02 09:34:30 Ответить

Интересно, а сами учителя сдали бы этот пресловутый ЕГЭ? Да больше половины провалили бы его с треском!!! Отсюда и результаты... Насчет патриотизма. Хоть воспитывай его, хоть - нет, а если у города нет реальных перспектив и всё привязано к КамАЗу, то молодёжь не будет здесь задерживаться. После учёбы на нормальную работу не устроиться, везде блат. А работать на "дядю" за 3 копейки они не будут. Я и своего ребёнка отправлю учиться из Челнов.


Рамиль (Читатель) 2009-10-29 14:44:58 Ответить

Елена, что вы привязались к этому КАМАЗу? Как будто работать больше негде, КамДорстрой, Челны-Хлеб, ДСК, ЗЯБ, ЧЕЛНЫ-СОТ, проектный институт и это только часть организаций которые продолжают свою деятельность в кризисное время.
ВУЗы нашего города выпускают очень много специалистов разных напрвлений. А работы нет, потомучто время такое. Челны очень даже хороший город!


Thumb_моя_фотка dima (Зарегистрированный пользователь) 2010-01-11 17:10:12 Ответить

елена а вы думаете в других городах вашем детям будет лудше ????? или их там ждут с распростёртыми объятиями ?


Сергей (Читатель) 2009-09-02 10:03:22 Ответить

Дырину.
Я этот вопрос столько раз поднимал на разработке плана Стратегического развития города. А вы, и наше руководство все там делали ... Не видите главного, а у меня тогда еще сын уехал в Москву и не вернулся. Обидно очень. Но люди голосуют ногами за ваш город европейского формата.


Ольга (Читатель) 2009-09-02 10:19:43 Ответить

Челны уже давно превратились в деревню. Уезжают - потому что нет у молодежи никаких перспектив здесь, нет у них будущего, нет развития. Нет ничего, кроме едва дышашего Камаза. Нечего здесь делать молодежи...
Поэтому все, кто не хочет горбатиться за 3 тыс или пить пиво-лузгать семечки по подворотням, будут сваливать отсюда.
А судя по всему, никакого развития в ближайшие годы не предвидится, поэтому отток молодых будет все больше с каждым годом.


Thumb_моя_фотка dima (Зарегистрированный пользователь) 2010-01-11 17:15:22 Ответить

лично я думаю скоро камазу ****** будет и ево скорей всего купит какой нибудь крупный автоконцерн поменяет всех руководителей с камаза вот только тогда наш город начнёт развиваться


Thumb_capture Vlad (Зарегистрированный пользователь) 2009-09-02 10:53:24 Ответить

Я так и знал, что так будет. Это проклятое ЕГЭ всегда всем все портит. А по нашему городу оно сильно ударило. Что по поводу учебы в других городах, обидно за город что нет стоящих институтов.
Эта новость потрясла меня больше всего.
Челны не деревня, просто у города не было тогда старта для всестороннего развития. Вот она причина - на одном сидеть, зациклились на строительстве, на ТЦ, автостоянках и т.п.


Татьяна (Читатель) 2009-09-02 11:08:43 Ответить

Уровень образования падает не только в Челнах,такая тенденция прослеживается во многих городах РФ.В первую очередь обидно за учителей,при такой нищенской зарплате,они еще умудряются чему-то учить наших детей,большой поклон им за это!У моего сына учительница начальных классов(педагог от бога) ушла из школы после 3-го класса,недоучив детей.Причина-маленькая зарплата,нехватало на жизнь.Во вторых,очень много дает интересно поставленный учебный процесс,заинтересовать надо школьника.В третьих,школе дожны помогать сами родители,учиться вместе с детьми,порой это многим не повредит.Зачастую в том,что чадо вышло после школы "Митрофанушкой" виноваты мама с папой,а не школа.Давайте любить себя и любить наших детей,и результаты не заставят себя ждать!


vika (Читатель) 2009-09-02 21:01:36 Ответить

Ну да, у учителей маленькая зарплата... А на Камазе большая что-ли? Нас почти всех на минимальную зарплату посадили, крутись, как хочешь, да еще и ребенка сам учи? А куда интересно пошла работать ваша учительница, нигде сейчас много не платят. Мои дети в 43 шк. учились, я мало кого могу похвалить из учителей. Мне прямо учителя говорили - помогайте детям, нанимайте репетиторов, у нас маленькая зарплата. Ну и как помогать ребенку по физике, иностранному и т.д., на репетиторов денег нет, сама я предметы тоже освоить не могу - и времени нет, да и глупо учить ребенка вместо учителя - пироги должен печь пирожник! В итоге в колледже пришлось обучение детей преподавателям чуть ли не с нуля начинать.


Елена (Читатель) 2009-11-18 00:26:28 Ответить

На КамАЗе минимальная зарплата меньше года, а у учителей она сроду выше не была. Нечего учителей во всем обвинять. Если в семье на воспитание не обращали внимание (я имею ввиду трудолюбие, дисциплину, обязательность и пр.), то школа дать достойное образование при всем желании не сможет. Средний возраст учителей выше 40 лет. В моей школе педагогический состав остался прежним. А качество обучения упало. (Приведу пример. Я закончила школу 13 лет назад. Поступила в ВУЗ на бюджет при конкурсе 4 человека на место. При этом имела запасной вариант - КАИ, и тоже на бюджет. Тогда можно было подавать документы в несколько ВУЗов. Учителя почти все остались те же. Низкий поклон им за их труд и терпение). А то что качество упало не только в нашем городе - это многим уже известно. Ректоры ВУЗов уже лет 5 обращают на это внимание. А вот то, что наши дети хуже написали ЕГЭ, чем в среднем по Россиии, так это уже другой вопрос. Посмотрите на учебные планы - сколько часов отводится на русский язык и математику? Если считать экзамены по этим предметам главными и обязательными, то необходимо срочно пересматривать все учебные программы по всему Татарстану. На данный момент, судя по этим программам, наши дети собираются сдавать экзамены по тат.яз и тат. литературе.


Thumb_mike Mike (Зарегистрированный пользователь) 2009-09-02 11:32:16 Ответить

Интересно, а почему русский язык приравнен по значимости к математике? И на этом основании выводится средний балл?

Математика гораздо обширней и сложней русского языка, хотябы на том основании, что есть высшая математика, а "высшего языка" нет. Короче бал по математике важнее и тогда 36 школа на первом получатся, а на втором 26.

А то понавтыкали гиманзий! :)


Н. В. (Читатель) 2009-09-07 21:09:38 Ответить

Судя по уровню Вашей языковой подготовки, Вам легче изучать высшую математику. Как можно судить о том, какой язык есть, если элементарных правил орфографии не знаешь!!!


Аноним (Читатель) 2009-09-02 12:47:58 Ответить

да давно бы так, они правильно делают если уезжают, делать тут нефиг, перспектив и вправду никаких нет!!!! и не предвидится.САМИ власти развели этот бардак а, теперь еще и удивляются чего же народу то не нравится.без блата вообюще никуда не устроишься, особенно теперь, вот и появляются у нас бездари по блату, нихрена не умеющие, зато родня... там дядя или папа директор.столько студентов без работы маются или работают на том же камазе за 4т.р., и желания работать у них естессно нет. кароче что хотели то и получили!!!ЖРИТЕ господа


XO (Читатель) 2009-09-02 13:26:08 Ответить

Мне кажется это естественно. Когда я оканчивал школу у меня было 4 стройки в аттестате.ЕгЭ я завалил.И не сколько не парился, так как пока есть такие вузы как УёП (ИЭУП) нету смысла вообще учиться,так как итак поступишь и не останешься без высшего образования, ни че не скажу, учится там не легко, но в 17 лет это как то мало важно, главная задача поступить


Аноним (Читатель) 2009-09-02 14:07:03 Ответить

не спорю, поступить конечно важно, а САМОМУ учиться везде не легко.но когда видишь что кто то не на своем месте, плакать хочется. как то из налоговой пришло письмо, где то там отец переплатил 83 копейки)))ну мы проигнорировали, (сумма то смешная). так потом затаскали нас туда. в ведущих специалистах там сидела такая тетя, по-русски изьяняться она могла по моему только жестами)))))орала,махала руками,даже матюгалась пару раз,все обьяснения на татарском, меня отец потому и взял с собой, он по татарски вообще почти не понимает. еле-еле поняли что она хотела чтоб мы открыли счет и нам туда перечислили эти копейки)))в конце разговора ей кто то позвонил, так она так протянула звонившего непечатными выражениями,плевалась и произвела спечатления полной истерички, трубку потом надо было мыть с мылом(изо рта летело во все стороны). ну КАК она вообще туда попала то а??


Катюша (Читатель) 2009-11-05 21:51:19 Ответить

В такой вуз как ИЭУП, даже макака поступит!!! Нет в челнах хорошо высшего образования!


Thumb_capture Vlad (Зарегистрированный пользователь) 2009-09-02 16:57:40 Ответить

Правильно - правильно написал! Я то же самое всем говорил и говорю вместе с отцом. От чего ушли, к тому и вернулись! Раньше надо было думать, когда город начинал развиваться. Было бы всестороннее развитие города, но его увы нет.
Все правильно написал. Последствия бардака. Вот и пусть теперь думают, как все это исправить.


Kash (Читатель) 2009-09-02 13:31:36 Ответить

В списке не все школы. Почему? Не сдавали ЕГЭ вообще?
Кто составлял данный рейтинг?


Thumb_kolesnikova Ольга Колесникова (Зарегистрированный пользователь) 2009-09-02 16:35:49 Ответить

Рейтинг составляли в управлении образования. ЕГЭ сдавали все школы - ведь это обязательная аттестация. И все школы вошли в рейтинг. Вы заметили, что в таблице не одна колонка, а две? В рейтинг - по понятным причинам - не включили только коррекционные школы.


Thumb_capture Vlad (Зарегистрированный пользователь) 2009-09-02 17:03:37 Ответить

Перспектива была бы, если бы в городе были стоящие институты, а не бесконечные курсы юристов и менеджеров для ТЦ и автостоянок. Разнообразия в городе нет.
Вот недавно проезжаю по городу, вижу задумали строительство института дизайна и архитектуры, хоть что-то появилось.
Если учишься здесь хорошо и есть где работать, есть желание. Если же нет выбора учебы, значит надо ехать например в Москву, т.е. и там осядешь. А кто будет возвращаться? Никто.
Мне лично когда-то предлагали учебу в московском филиале Форт-диалога, но учеба стоила не малых денег.


Читатель (Читатель) 2009-09-02 17:53:06 Ответить

Можно подумать, что в Москве всех ждут, а из Челнов всех гонят. Если человек не пригодился, там где он родился, не вышел ни умом, ни талантом, ни характером, не смог стать толковым специалистом, то он и в Москве не поднимется, и без разницы, какой он национальности, чей он родственник.


Елена (Читатель) 2009-09-02 20:00:44 Ответить

В столицах за тот же самый ум и талант несколько больше платят, знаете ли )))) У меня множество знакомых, уехавших туда и прекрасно устроившихся. Назад никто не собирается.


Nikon (Читатель) 2009-09-03 10:05:31 Ответить

Читатель, есть разница! В Москве вы выбираете где работать, а здесь вас. Там как-раз заинтересованы в ваших навыках, а здесь нет. Здесь смотрят прежде всего- чей, откуда. В з/плате тоже существенная разница. Народ другой там, интеллект Московских руководителей, даже малых предприятий, в 10-ток раз выше, по крайней мере не видно как "карманы свои набивают", здесь же ничего и никого не стесняются, всё открыто.
"Где родился, там и пригодился"- не актуально сегодня.


Thumb_capture Vlad (Зарегистрированный пользователь) 2009-09-03 11:11:29 Ответить

Там как раз заинтересованы в ваших навыках, а здесь нет - пояснение: а тут знают то, чем ты занимаешься (занимался) усердно? НЕТ. Потому и не знают. И называют, говорят, пишут, ну и муть. Nikon, это факт. Сами-то ничего другого не знают, а как нужна помощь, так сразу начинают искать подходящего человека. Меня например использовали в своих целях до того как хотели взять на работу (сами позвали к себе), а потом взяли и своего поставили. Вот где супер наглость!


Thumb_capture Vlad (Зарегистрированный пользователь) 2009-09-03 11:06:09 Ответить

Что за глупость? Приехав в любой город если у него есть желание работать, он поднимется!


Катя (Читатель) 2009-12-03 03:17:38 Ответить

В корне не согласна с Читателем.Я долго не могла найти работу в Челнах и в 2002 году уехала к сестре в Москву.И за пять лет доработалась до ген.директора нашей компании.Потому что в столице ценили мои деловые качества,а в Челнах смотрели только на внешность,либо вообще не хотели разговаривать если не было опыта работы.А с другой стороны Москва не резиновая...


Марина (Читатель) 2009-09-02 17:49:39 Ответить

у меня племянница пошла во второй класс в 43 школу. Судя по рейтингу она ПРЕДПОСЛЕДНЯЯ!!!!!! Ее мама платит каждый месяц по 300-400 рублей. В эту сумму не входит ни охрана, ни питание. За что тогда мы платим??? За предпоследнее место в рейтинге школ по тупизму???
А они еще удивляются большому оттоку студентов в другие города. Я сама закончила КамПИ и очень об этом жалею. Стольок взяток нет ни в одном вузе Челнов и все об этом знаю и ничего не делают.


Студентка (Читатель) 2009-09-02 20:02:10 Ответить

Я закончила КамПИ с красным дипломом. Не заплатила ни копейки ни разу. Головой надо работать, это очень сэкономит вам средства ;-)


Thumb_mike Mike (Зарегистрированный пользователь) 2009-09-02 20:28:39 Ответить

Студентка правильно говоришь! Молодец! :)


нахал (Читатель) 2009-09-03 09:45:50 Ответить

Комментарий удален


Злой (Читатель) 2009-09-03 10:47:33 Ответить

Комментарий удален


нахал (Читатель) 2009-09-04 00:36:25 Ответить

Извините многоуважаемый Злой, но по распоряжению всемогущего Веба, наши комментарии были удалены.Не могли бы Вы, в более мягкой форме выразить мне свой ответ, по скольку не было возможности, прочитать его в оригинале)))


Татьяна (Читатель) 2009-09-04 16:53:22 Ответить

Я работаю в ИНЭКА (КамПи)уже не один год, никогда даже не думала о взятках. А если студенты (многие) не уверены в своих знаниях (потому что не хотят учиться), то естественно ищут способы сдать экзамены другим путем. Жалко что их все больше и больше. Надо желать...., хотеть..., получать знания, тогда и жалеть не придется.


vfhfn (Читатель) 2009-09-02 21:59:49 Ответить

Я УЧИЛСЯ В 49 ШКОЛЕ 90-99 КРОМЕ НЫТЬЯ И КРИКОВ НАС БОЛЬШЕ НИЧЕГО НЕ УЧИЛИ ДОВАЛИ УЧЕБНИК И ПЕРЕПИСЫВАЛИ ЕГО М ВСЕ А ДА УЧИТЕЛЬ ИСТОРИИ В 5 6 КЛАССЕ НАС ПРОСТО БИЛ ВОТ ТАК МЫ УЧИЛИСЬ


sd (Читатель) 2009-09-03 09:55:11 Ответить

Уважаемый vfhfn, спасибо что откликнулись на эту статью. Своим эссе вы талантливо показали типичный продукт нашего образования.
Самое страшное, что такой продукт сейчас руководит 31-й школой. Нет, он старается, он усердно и ответственно относится к своей работе, он даже покрасил парты и стулья...31 августа.


Абзый (Читатель) 2009-09-03 23:49:14 Ответить

В 1990-99 годы учились? В школе Волкова Г.А.? А как звали учителя, который Вас бил на уроке истории? А почему Вам давали переписывать учебник? Пытались научить Вас писать? Странно однако. Может, Вы учились в классе для самых слабых учащихся? Баловались, мешали учителю вести урок, не готовились к урокам дома, не могли два слова друг с другом связать по теме?


Вопрос для sd (Читатель) 2009-09-03 23:56:58 Ответить

sd, а чем вам не нравится ваш новый директор Мазитов Р.Р.? Тем, что сам старается добросовестно трудиться и вас к этому принуждает? Ну и что, что 31 августа парты и стулья покрасили? Что же вы сами не постарались пораньше их покрасить? А вы сами что за продукт? Типа умнее и краше?


ILDAR (Читатель) 2009-09-04 08:44:13 Ответить

У нас еще комичнее было в татарском классе учился 1 год,целый год мы 2 параграфа учили.учительнице было некогда .В конце были экзамены дура весь класс завалила


Маааханькая (Читатель) 2009-09-03 10:34:27 Ответить

круто моя школа на втором месте ехуху


Бывший учитель (Читатель) 2009-09-03 12:07:11 Ответить

Во всем виновата система образования.Мне стыдно работать в этой системе.Возможно такие результаты заставят изменить систему,чтобы учителя с удовольствием работали,а дети с радостью шли в школу.


sd (Читатель) 2009-09-03 17:20:38 Ответить

Вы правильно себя назвали "Бывший учитель", а лучше и "никогда нЕ бывший".
Не место красит человека, а человек - место.


Алька (Читатель) 2009-09-03 12:37:53 Ответить

11 классов я закончила в 1992 году и класс был со средней оценкой 4,4 ,учились мы тогда в школах которые ближе к дому ,не было такой дикой моды на престижные школы .Когда заканчивали 9 классов было видно кого не оставят на 11-и летку,из 6 классов осталось только 2.А сейчас на работе ,во дворе только и слышешь как каждая мамашка стремиться устроить свое чадо в школы,где детишки по блатнее.( только и слышно у нас в классе учиться ребенок того бизнесмена или того блатной тети,никто некогда не обсуждает педагодический состав школ- у кого какие звания и сертификать проффессиональные ) Вот вам и рейтинг .


rocky (Читатель) 2009-09-03 21:52:56 Ответить

Спилась наша молодежь! Точнее, дети наши спились. Вот вам и результат! Пиво и сигареты делают школьтников дебилами.


Сидоров (Читатель) 2009-09-03 21:55:20 Ответить

Привет 43-й школе, the best !!!


Учитель (Читатель) 2009-09-03 23:25:16 Ответить

Как не прискорбно, но мы уважаемые педагоги и товарищи из ГУНО, сами своих детей и губим.Медленно, но уверенно дает понять нашей молодежи, что нам не до них.... Не сдали ЕГЭ? А чья вина, не наша ли, педагоги? Учить нужно лучше и не за деньги. Устроили понимаешь дополнительные услуги в школах....а на уроках то тогда, чем будете заниматься? Я не по наслышке знаю, что творится в некоторых школах... а родители многие молчат....


Mask (Читатель) 2009-09-04 08:24:50 Ответить

Вот все поголовно ругают учителей!!! и мне это кажется довольно таки странным! все таки должна же быть и вина тех кто сдавал ЕГЭ (учеников). или я не прав??? зачем идти полному д...у в 10 ый пусть идет получать рабочую специальность!!!


Прыщ (Читатель) 2009-09-04 14:33:24 Ответить

Меня в школе все называлм прыщем, так как я выделялся из толпы, я учился на одни пятерки.... и тут настал переломный ммоент когда к нам в магазин завезли Балтику №3-учеба пошла ко дну.... Во всем виновата эта компания. Хочу подать на нее в суд, Балтика №3 поламала мне жизнь!!! (И винстон тоже).


Читатель (Читатель) 2009-09-05 10:22:34 Ответить

Разве справедливо высчитывать рейтинг школ по результатам ЕГЭ только по двум предметам? Есть школы, где работают талантливые педагоги по другим предметам, имется высокие достижения учащихся, например, по истории, физкультуре,... . Столько чиновников сидят в мэрии, а толка от них ну никакого. Но что-то за результаты ЕГЭ никто из них не понёс ответственности. Рыба гнила, гниёт и будет гнить всегда с головы. Вот с головы и надо бы начать наведение порядка в сфере образованияв городе.


Ахсан (Читатель) 2009-09-05 11:43:03 Ответить

Все ищут виновных-банальность обывателя.Хотите, чтоб чиновники сами себя заменили? Глупее не придумаешь. Мир таков каков Ты сам.Меняй себя действиями. И Мир поменяется незаметно.Ищите по поиску нажимая CTrl+F bмя Ахсан. знакомтесь и давайте общаться по ahsan@mail.ru Твой доброжелатель Ахсан.


Н. В. (Читатель) 2009-09-07 21:19:49 Ответить

Удивительно, как можно сравнивать гимназии и общеобразовательные школы! Контингент очень сильно отличается, между прочим. И виноваты тут не учителя, а родители. Внимание детям больше надо уделять, читать с ними книги, учить стихи и песни, а не приучать их к низкопробным передачам по телевизору.


Родитель (Читатель) 2009-09-07 22:17:10 Ответить

Дело даже не в контингенте, просто в гимназиях периодически производят отсев "троечников", настоятельно просят их подыскать другую школу, естественно в таком учебном заведении будет высокий результат ЕГЭ, таким образом гимназии-лицеи и "подтверждают свой статус".


Директор (Читатель) 2009-09-08 11:49:18 Ответить

Кому ЕГЭ принес пользу? Школам? Нет, пропала положительная статистика. ВУЗам? Нет. Получили вместо хорошистов псевдольготников. Поступающим? Нет. Не смогли поступить с хорошими баллами. Так кому?


Stana (Читатель) 2009-09-08 11:57:24 Ответить

К этому выпуску (2012-15 годах) на работу пойдет неквалифицированный опасный персонал: врачи, учителя, фармацевты, строители и т.д. Факт. Надо уезжать-(


Thumb_mike Mike (Зарегистрированный пользователь) 2009-09-08 13:03:36 Ответить

Что за ерунда! ЕГЭ принес пользу в первую очередь поступающим! Теперь не важно где ты учишься в элитной московской школе, или сельской. Важны только знания. ЕГЭ их и выявляет. А то, что знания прохи так это уж ивините вопрос не к ЕГЭ :)
Статистику им видители испортли... :)


Vita Brevis (Читатель) 2009-09-08 23:11:05 Ответить

Наивный Вы человек! Знакомая девочка поступала летом в Питер на звукорежиссера. Условия приема - ЕГЭ и собеседование. По ЕГЭ у нее оказался самый высокий балл по институту, по собеседованию - самый высокий балл в группе (90 из 100). Комиссия пришла в экстаз: девочка из провинции смогла ответить, на чьи стихи написана 13-я симфония Шостаковича, в каких фильмах сотрудничали Прокофьев и Эйзенштейн, и создавал ли саундтреки Стравинский. Результат - ни на одно из двух бюджетных мест в группе девочка не прошла. Так что Вы там говорили о равных возможностях?


вася (Читатель) 2009-09-09 17:19:38 Ответить

вот тоьлко вопрос - нафига эти знания ЗВУКОРЕЖИССЕРУ, т.е. ТЕХНАРЮ......


Vita Brevis (Читатель) 2009-09-09 20:53:53 Ответить

Вот поэтому у нас такие звукорежиссеры (через одного - "Безуховы")! Надо, Вася, надо... А то так можно договориться и до того, что в этой профессии и тонкий музыкальный слух не обязятелен, и музыкальная память, и знание музыки. И потом, кто сказал, что речь шла именно о гуманитарии? Я же сказала - лучший балл по ЕГЭ - а он без математики невозможен! А девочка учиться будет, платно (кстати, стоимость обучения сопоставима со стоимостью обучения в ИНЭКА). И первая же практика у них - на "Ленфильме". Вот через несколько лет и посмотрим - нужны или не нужны были эти знания. А Вы что, уважаемый Технарь, испугались конкуренции? Правильно делаете, что боитесь - наши выпускники еще себя покажут!


владислав (Читатель) 2009-09-29 22:49:07 Ответить

а вы уважаемый сами то этот ЕГЭ видели? а если видели интересно узнать во сколько по нему ваши знания вышли?
готов отдать последнюю бутылку пива за то что ниже приличных рамок!


Она (Читатель) 2009-09-08 13:12:11 Ответить

я свою дочку дома и учу, и занимаюсь с ней, и читаем вместе. хочу, чтобы она пошла в гимназию, где детки именно ВСЕ стараются, никто не тянет ко дну, где учителя профессионалы ВСЕ, гед их отбирают. В простых школах да, есть учителя с дипломами о повышенной квалификации, но их единицы, и мало учителей-профессионалов от Бога. Ну подй я к конкретному педагогу изначально, но кроме него будет еще масса учителей, за профессионализм и человечность которых никто не ответит


владислав (Читатель) 2009-09-29 22:54:26 Ответить

а вы не боитесь что с такими нагрузками ваш ребёнок просто не справится,в таких гимназиях ведь нагрузки вдвое больше а программы,литература не чуть не легче


Astra (Читатель) 2009-09-29 13:40:18 Ответить

Ребенок пошел во второй класс. Учительница сказала: учебник по русскому языку, согласно федеральной программе, рассчитан на 6 уроков в неделю, а по расписанию - только 4. Выводы предложила сделать самим.


Алина (Читатель) 2009-09-29 14:46:27 Ответить

Наша учительница тоже в ужасе. ввели дополнительные уроки три раза в неделю, просили дома с детьми тоже заниматься, Иначе никак.


Вывод (Читатель) 2009-09-29 15:27:40 Ответить

Учительница врёт. Она хочет раскрутить родителей на бабки за доп.уроки.


Astra (Читатель) 2009-09-29 15:44:58 Ответить

Г-н Вывод. Наша учительница НИКОГДА не давала повода заподозрить себя в вымогании денег. С совсем отстающими ребятами она занимается бесплатно. А на весь класс у нее физически не хватит ни сил, ни времени.


владислав (Читатель) 2009-09-29 23:01:24 Ответить

ох афтар не могу я читать эти темы что за бардак у нас охота сразу или в управлении срезать или самому свалить


Юлия Монн (Читатель) 2009-10-05 18:40:19 Ответить

Не знаю в чем трудности ЕГЭ... лично я сдала все на 5ки, хотя в школе за четверти и полугодия всегда были 4ки. И в аттестат, кстати, пошли тоже 4ки. И по алгебре и по русскому.
По поводу, "Челны-деревня" совершенно согласна! Учусь в ИНЭКА, но тянет в Москву! Через силу живу здесь... Никаких перспектив! Город от чего-то устал, постоянно сонный, медленный, никому ничего не надо, все с лицами "Отвалите от меня"... А в Москве (бываю там ОЧЕНЬ часто) всё по-другому: люди начитанные, энергичные- чувствуется жизнь! Уехала бы в Москву, но пока нет возможности... Но семью создавать в Набережных Челнах я не хочу- своим детям желаю счастливого будущего и достойного образования!


Василий Иванович (Читатель) 2009-11-02 20:50:45 Ответить

Да, странные выводы сделаны из результатов ЕГЭ. Наказаны директора ... Конечно, такое наказание естественно. Но "общественный обморок-то" городского масштаба. И, судя по увольнению директоров, это обморок и для управления образования. Выходит, это не оно назначало этих директоров, не оно мучило школы проверками и прочим контролем. А в результате? Оказывается, оно было не в курсе действительного положения вещей. Весь гнев обрушен на среднее звено управления. А самые главные ответственные как бы и ни при чём. Уж действительно, в городе управляют кум, брат, сват ... При таком качестве управленцев и экспертов управления образования и при таком подходе к управлению в целом вряд ли стоит удивляться результатам и ЕГЭ, и вообще городского образования. Процесс был запущен годы назад и идёт вовсю - молодёжь голосует ногами. То ли ещё будет.


Равиль (Читатель) 2009-11-24 01:32:31 Ответить

Не знаю, а я вот жалею что не успел попасть в то время, когда необходимо было сдавать ЕГЭ...( если не ошибаюсь я окончил школу, а на след. год ЕГЭ ввели как обязотельное). Да, я любил математику и русский язык , особенно английский (англ в школе ввели у меня только в 5 классе, ушел после 9 класса, потом окончил колледж,причем последний год английского меня освободили, так как я его со времен школы изучил в полном объеме), учился я в 33 школе, правда она по рейтингу на 12 месте=)
Хотел всегда проверить свои знания, может мне и повезло, я сейчас в свои 22 года не курю и не пью, но бог знает что было бы если бы я родился так скажем... на 2-3 года позже, вполне возможно и я оказался в этой паутине, где царствует переходный возраст на пару с сигаретами и алкоголем...
Уверен на 100%- 70% зависит от того, как преподает свой предмет учитель в школе, ее главая функция я считаю заинтересовать ученика и не давить на отстающих, а наоборот им помогать после уроков и все непонятное с каждым все детально разложить по полочкам + если не успевает то попросить успевающих детей, которые хорошо понимают и разбираются... не говорить всем ученикам - СКОРО ЕГЭ ТЫ его завалишь с таким уровнем знаний!!! давай учись блаблабла... ведь такими поступками учитель уже закладывает будущее неудачное пятно в сознании ученика.
43%? А почему так мало? Это было довольно прогнозируемо, нечего я считаю в городе нашем делать, лучше поехать в Казань там отучиться, а не КампИ, где и ждут тех детей, у которых много денег в "маменьких" кошельках.


Сергей (Читатель) 2009-12-07 09:20:26 Ответить

А я предлагаю покинуть город тем кто думает о здоровье и о будущем,сам собираюсь в деревню.
я на 3 работах работаю, а холодильник пустой, потому что гдето мало платят, гдето задерживают, а гдето и вовсе кидают.
Главное никто не хочет платить зарплату пропорционально труду, а в деревне по крайней мере я буду сыт поуши, а как денег заработать в деревне(свет газ(можно самому вырабатывать)),одежда способы есть.
Кто желает присоединиться ко мне пишите snews@rambler.ru
поговорим, обсудим.


 

Авторские рубрики


  Приколы от Айрата »»

Адвокат, бухгалтер и психолог

у нас очень холодные полы. первый этаж

Ответ»»

 
Вакансии Контакты Условия перепечатки